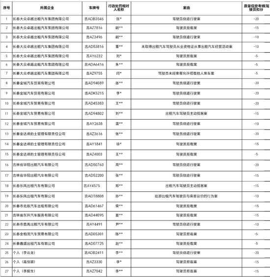
为进一步规范出租汽车营运秩序,为乘客创造安全、有序、优质的出行环境,长春市交通运输部门持续加大出租汽车领域违法违规行为查处力度,现将3月份查处的出租汽车企业和车辆名单公布如下。

中国吉林网 吉刻APP
记者 王涛
初审: 赵鹏
复审: 孙晓云
终审: 张彦梅
吉网新闻热线:0431-82902222
为进一步规范出租汽车营运秩序,为乘客创造安全、有序、优质的出行环境,长春市交通运输部门持续加大出租汽车领域违法违规行为查处力度,现将3月份查处的出租汽车企业和车辆名单公布如下。

中国吉林网 吉刻APP
记者 王涛